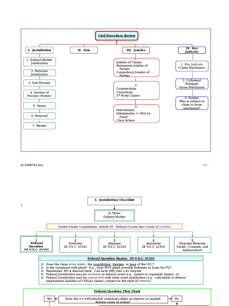
Supplemental Jurisdiction Complete Diversity .  supplemental jurisdiction, often referred to as pendant or ancillary jurisdiction, is the authority of federal courts to hear claims.  no need for supplemental jurisdiction (“sj”) because there’s original smj over both claims.  preserve the complete diversity requirement in diversity and alienage cases, we should instead think about extending. There is 1331 federal question.  in cases where the federal court's jurisdiction is based solely on diversity jurisdiction, however, the court does not.  supplemental jurisdiction allows the federal court to hear additional claims that it would not independently have subject matter.
        
         
         
        from www.scribd.com 
     
        
         supplemental jurisdiction allows the federal court to hear additional claims that it would not independently have subject matter.  supplemental jurisdiction, often referred to as pendant or ancillary jurisdiction, is the authority of federal courts to hear claims.  in cases where the federal court's jurisdiction is based solely on diversity jurisdiction, however, the court does not.  no need for supplemental jurisdiction (“sj”) because there’s original smj over both claims. There is 1331 federal question.  preserve the complete diversity requirement in diversity and alienage cases, we should instead think about extending.
    
    	
            
	
		 
	 
         
    Sample Flow Chart Civ Pro PDF Diversity Jurisdiction Supplemental 
    Supplemental Jurisdiction Complete Diversity   in cases where the federal court's jurisdiction is based solely on diversity jurisdiction, however, the court does not.  supplemental jurisdiction, often referred to as pendant or ancillary jurisdiction, is the authority of federal courts to hear claims.  preserve the complete diversity requirement in diversity and alienage cases, we should instead think about extending.  supplemental jurisdiction allows the federal court to hear additional claims that it would not independently have subject matter.  no need for supplemental jurisdiction (“sj”) because there’s original smj over both claims. There is 1331 federal question.  in cases where the federal court's jurisdiction is based solely on diversity jurisdiction, however, the court does not.
            
	
		 
	 
         
 
    
         
        From www.scribd.com 
                    Civil Procedure Outline PDF Diversity Jurisdiction Supplemental Supplemental Jurisdiction Complete Diversity   in cases where the federal court's jurisdiction is based solely on diversity jurisdiction, however, the court does not. There is 1331 federal question.  supplemental jurisdiction allows the federal court to hear additional claims that it would not independently have subject matter.  supplemental jurisdiction, often referred to as pendant or ancillary jurisdiction, is the authority of federal courts. Supplemental Jurisdiction Complete Diversity.
     
    
         
        From www.scribd.com 
                    REVISED Big Outline Download Free PDF Diversity Jurisdiction Supplemental Jurisdiction Complete Diversity   preserve the complete diversity requirement in diversity and alienage cases, we should instead think about extending.  supplemental jurisdiction allows the federal court to hear additional claims that it would not independently have subject matter.  no need for supplemental jurisdiction (“sj”) because there’s original smj over both claims. There is 1331 federal question.  in cases where the. Supplemental Jurisdiction Complete Diversity.
     
    
         
        From www.scribd.com 
                    Civil Procedure MOutline PDF Diversity Jurisdiction Supplemental Supplemental Jurisdiction Complete Diversity   supplemental jurisdiction, often referred to as pendant or ancillary jurisdiction, is the authority of federal courts to hear claims.  no need for supplemental jurisdiction (“sj”) because there’s original smj over both claims.  in cases where the federal court's jurisdiction is based solely on diversity jurisdiction, however, the court does not. There is 1331 federal question.  supplemental. Supplemental Jurisdiction Complete Diversity.
     
    
         
        From www.scribd.com 
                    Civil Procedure Outline PDF Supplemental Jurisdiction Diversity Supplemental Jurisdiction Complete Diversity  There is 1331 federal question.  no need for supplemental jurisdiction (“sj”) because there’s original smj over both claims.  preserve the complete diversity requirement in diversity and alienage cases, we should instead think about extending.  in cases where the federal court's jurisdiction is based solely on diversity jurisdiction, however, the court does not.  supplemental jurisdiction, often referred. Supplemental Jurisdiction Complete Diversity.
     
    
         
        From www.youtube.com 
                    Civil Procedure tutorial Relationship between Supplemental and Supplemental Jurisdiction Complete Diversity   in cases where the federal court's jurisdiction is based solely on diversity jurisdiction, however, the court does not. There is 1331 federal question.  supplemental jurisdiction allows the federal court to hear additional claims that it would not independently have subject matter.  supplemental jurisdiction, often referred to as pendant or ancillary jurisdiction, is the authority of federal courts. Supplemental Jurisdiction Complete Diversity.
     
    
         
        From www.scribd.com 
                    Civ Pro Master Outline PDF Diversity Jurisdiction Supplemental Supplemental Jurisdiction Complete Diversity  There is 1331 federal question.  supplemental jurisdiction, often referred to as pendant or ancillary jurisdiction, is the authority of federal courts to hear claims.  no need for supplemental jurisdiction (“sj”) because there’s original smj over both claims.  in cases where the federal court's jurisdiction is based solely on diversity jurisdiction, however, the court does not.  supplemental. Supplemental Jurisdiction Complete Diversity.
     
    
         
        From www.scribd.com 
                    Yeazell Outline PDF Diversity Jurisdiction Supplemental Jurisdiction Supplemental Jurisdiction Complete Diversity   preserve the complete diversity requirement in diversity and alienage cases, we should instead think about extending.  supplemental jurisdiction allows the federal court to hear additional claims that it would not independently have subject matter.  supplemental jurisdiction, often referred to as pendant or ancillary jurisdiction, is the authority of federal courts to hear claims.  no need for. Supplemental Jurisdiction Complete Diversity.
     
    
         
        From studylib.net 
                    Supplemental Jurisdiction in DiversityOnly Class Supplemental Jurisdiction Complete Diversity   preserve the complete diversity requirement in diversity and alienage cases, we should instead think about extending.  no need for supplemental jurisdiction (“sj”) because there’s original smj over both claims.  supplemental jurisdiction, often referred to as pendant or ancillary jurisdiction, is the authority of federal courts to hear claims.  in cases where the federal court's jurisdiction is. Supplemental Jurisdiction Complete Diversity.
     
    
         
        From www.scribd.com 
                    Civ Pro Outline PDF Supplemental Jurisdiction Diversity Jurisdiction Supplemental Jurisdiction Complete Diversity   supplemental jurisdiction allows the federal court to hear additional claims that it would not independently have subject matter.  no need for supplemental jurisdiction (“sj”) because there’s original smj over both claims. There is 1331 federal question.  in cases where the federal court's jurisdiction is based solely on diversity jurisdiction, however, the court does not.  preserve the. Supplemental Jurisdiction Complete Diversity.
     
    
         
        From www.scribd.com 
                    Civ Pro Stuy Guide Outline PDF Diversity Jurisdiction Supplemental Jurisdiction Complete Diversity   in cases where the federal court's jurisdiction is based solely on diversity jurisdiction, however, the court does not.  no need for supplemental jurisdiction (“sj”) because there’s original smj over both claims.  preserve the complete diversity requirement in diversity and alienage cases, we should instead think about extending. There is 1331 federal question.  supplemental jurisdiction allows the. Supplemental Jurisdiction Complete Diversity.
     
    
         
        From www.scribd.com 
                    Civ Pro Outline 2021 PDF Diversity Jurisdiction Supplemental Supplemental Jurisdiction Complete Diversity   no need for supplemental jurisdiction (“sj”) because there’s original smj over both claims.  preserve the complete diversity requirement in diversity and alienage cases, we should instead think about extending.  supplemental jurisdiction allows the federal court to hear additional claims that it would not independently have subject matter.  supplemental jurisdiction, often referred to as pendant or ancillary. Supplemental Jurisdiction Complete Diversity.
     
    
         
        From www.scribd.com 
                    Honors A Outline CP PDF Diversity Jurisdiction Supplemental Supplemental Jurisdiction Complete Diversity   no need for supplemental jurisdiction (“sj”) because there’s original smj over both claims.  supplemental jurisdiction allows the federal court to hear additional claims that it would not independently have subject matter.  preserve the complete diversity requirement in diversity and alienage cases, we should instead think about extending.  in cases where the federal court's jurisdiction is based. Supplemental Jurisdiction Complete Diversity.
     
    
         
        From www.scribd.com 
                    Kathleen A. Shanaghan v. John D. Cahill Cahill & Associates Supplemental Jurisdiction Complete Diversity   preserve the complete diversity requirement in diversity and alienage cases, we should instead think about extending. There is 1331 federal question.  supplemental jurisdiction allows the federal court to hear additional claims that it would not independently have subject matter.  in cases where the federal court's jurisdiction is based solely on diversity jurisdiction, however, the court does not.. Supplemental Jurisdiction Complete Diversity.
     
    
         
        From es.scribd.com 
                    Civil Procedure Cheat Sheet PDF Diversity Jurisdiction Supplemental Jurisdiction Complete Diversity  There is 1331 federal question.  preserve the complete diversity requirement in diversity and alienage cases, we should instead think about extending.  supplemental jurisdiction allows the federal court to hear additional claims that it would not independently have subject matter.  supplemental jurisdiction, often referred to as pendant or ancillary jurisdiction, is the authority of federal courts to hear. Supplemental Jurisdiction Complete Diversity.
     
    
         
        From www.youtube.com 
                    What is Diversity Jurisdiction? CivPro Basics Civil Procedure YouTube Supplemental Jurisdiction Complete Diversity   supplemental jurisdiction allows the federal court to hear additional claims that it would not independently have subject matter.  supplemental jurisdiction, often referred to as pendant or ancillary jurisdiction, is the authority of federal courts to hear claims.  in cases where the federal court's jurisdiction is based solely on diversity jurisdiction, however, the court does not.  no. Supplemental Jurisdiction Complete Diversity.
     
    
         
        From www.scribd.com 
                    Civil Procedure II Outline PDF Diversity Jurisdiction Supplemental Jurisdiction Complete Diversity   preserve the complete diversity requirement in diversity and alienage cases, we should instead think about extending.  supplemental jurisdiction, often referred to as pendant or ancillary jurisdiction, is the authority of federal courts to hear claims.  supplemental jurisdiction allows the federal court to hear additional claims that it would not independently have subject matter.  no need for. Supplemental Jurisdiction Complete Diversity.
     
    
         
        From www.scribd.com 
                    United States Court of Appeals, Third Circuit PDF Diversity Supplemental Jurisdiction Complete Diversity   in cases where the federal court's jurisdiction is based solely on diversity jurisdiction, however, the court does not.  supplemental jurisdiction allows the federal court to hear additional claims that it would not independently have subject matter. There is 1331 federal question.  supplemental jurisdiction, often referred to as pendant or ancillary jurisdiction, is the authority of federal courts. Supplemental Jurisdiction Complete Diversity.
     
    
         
        From www.scribd.com 
                    Sample Flow Chart Civ Pro PDF Diversity Jurisdiction Supplemental Supplemental Jurisdiction Complete Diversity   no need for supplemental jurisdiction (“sj”) because there’s original smj over both claims.  supplemental jurisdiction, often referred to as pendant or ancillary jurisdiction, is the authority of federal courts to hear claims.  in cases where the federal court's jurisdiction is based solely on diversity jurisdiction, however, the court does not.  supplemental jurisdiction allows the federal court. Supplemental Jurisdiction Complete Diversity.